快看!2018年河北省高考一分一档统计表出炉!
2025-12-09 06:04 来源:网络 点击:
快看!2018年河北省高考一分一档统计表出炉!

最新!2018年河北省普通高校招生文理科考生一分一档统计表公布啦!请往下看!
河北考生和家长可登录河北省教育考试院网站(网址:www.hebeea.edu.cn)查询全部的一分一档统计表!
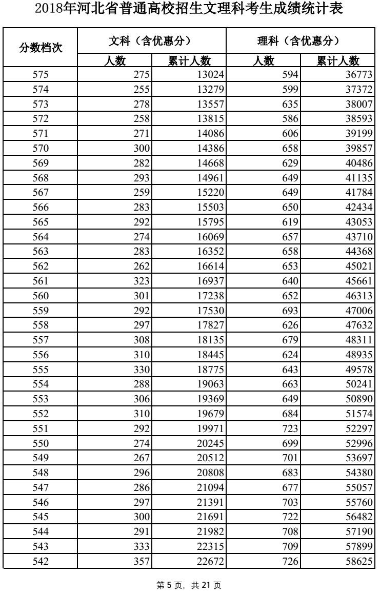
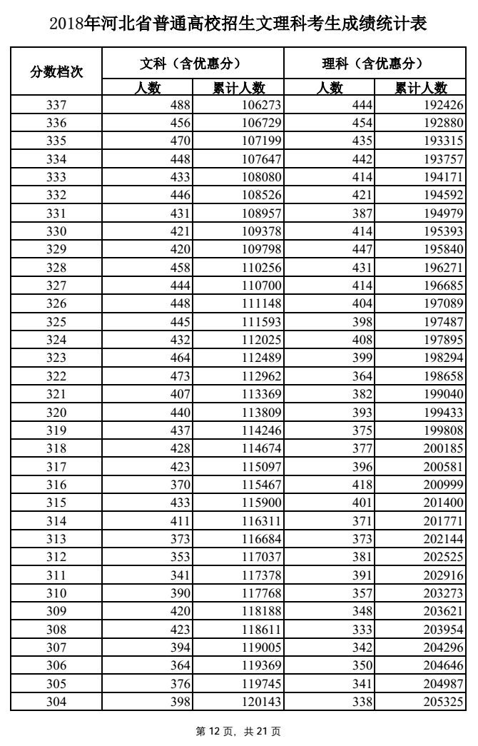
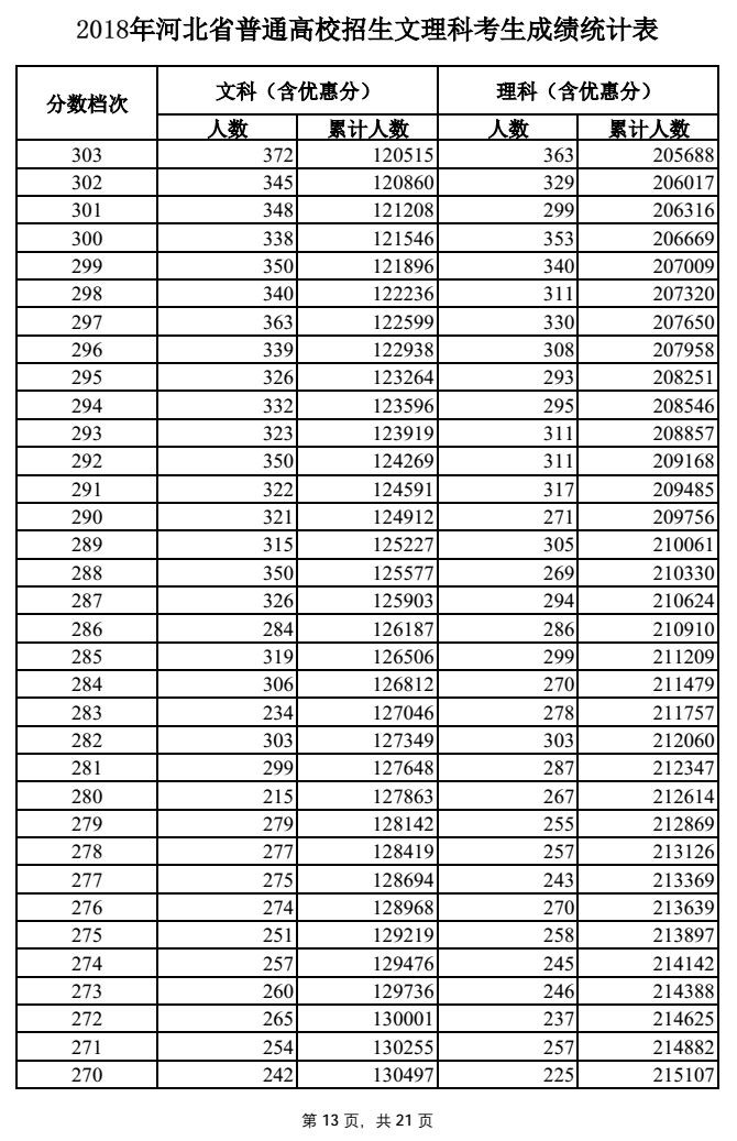
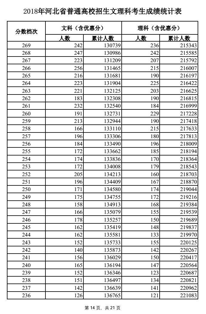
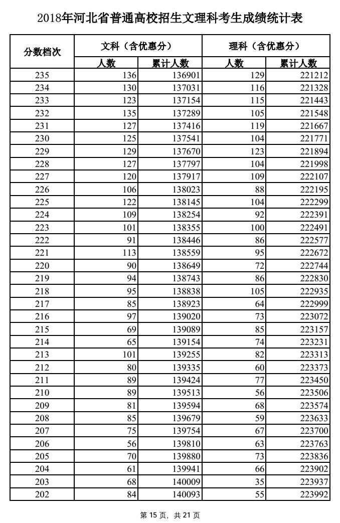
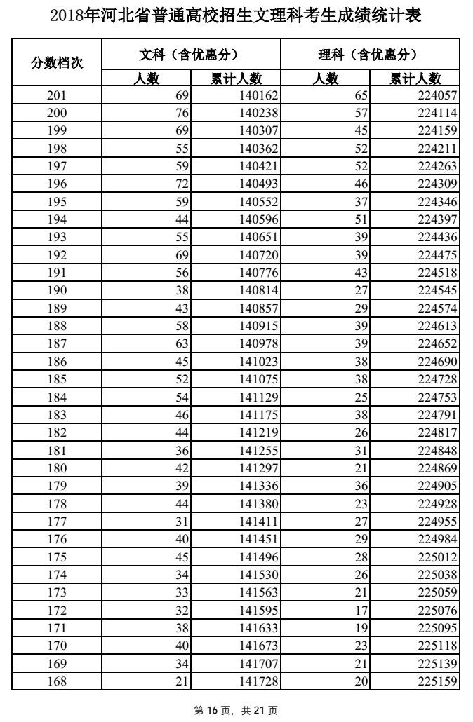
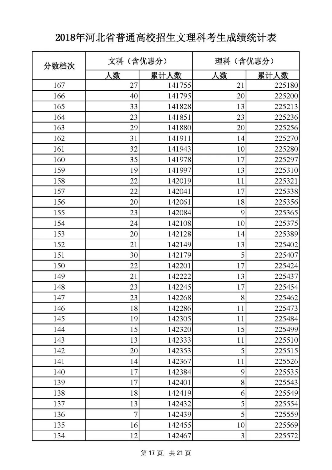
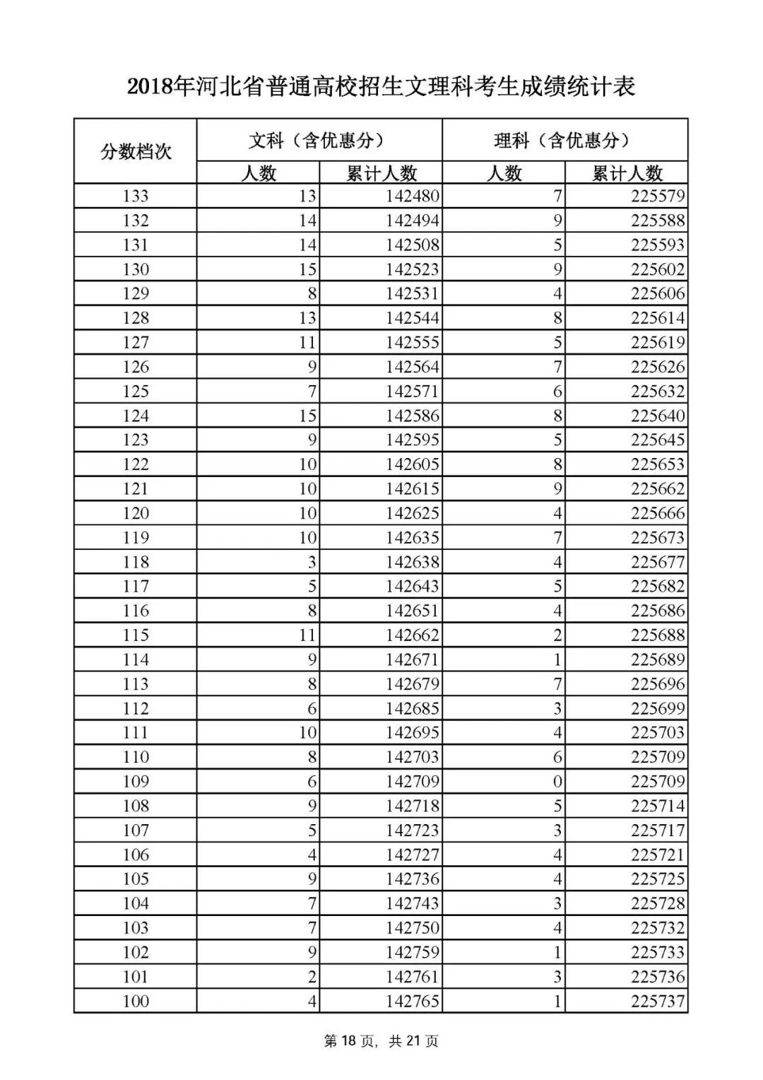
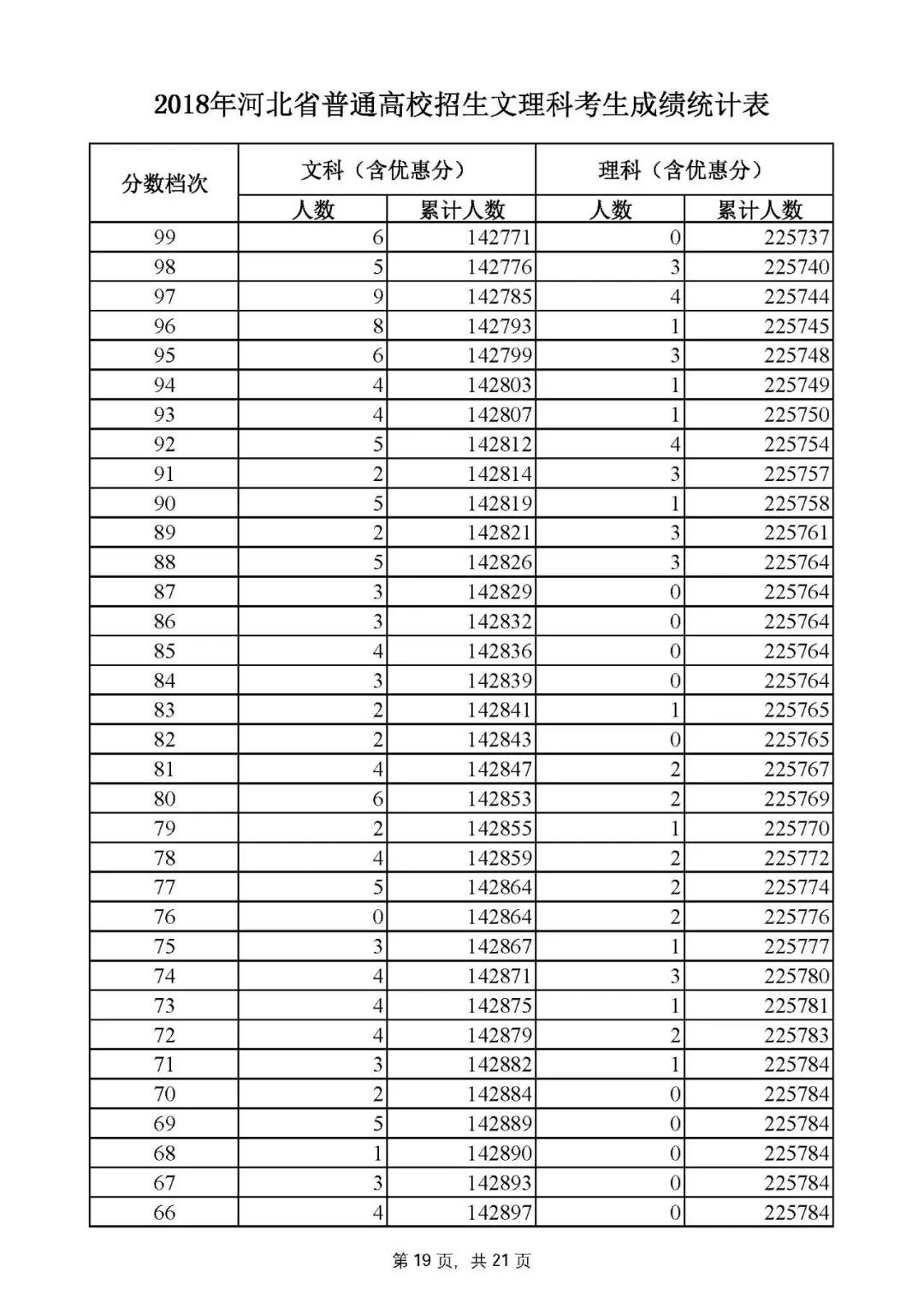
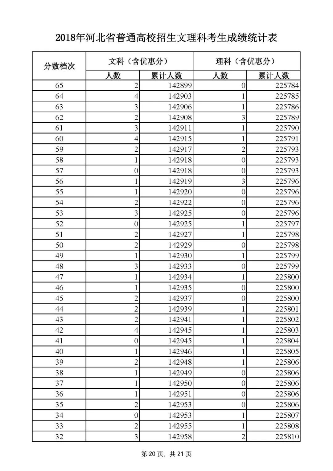
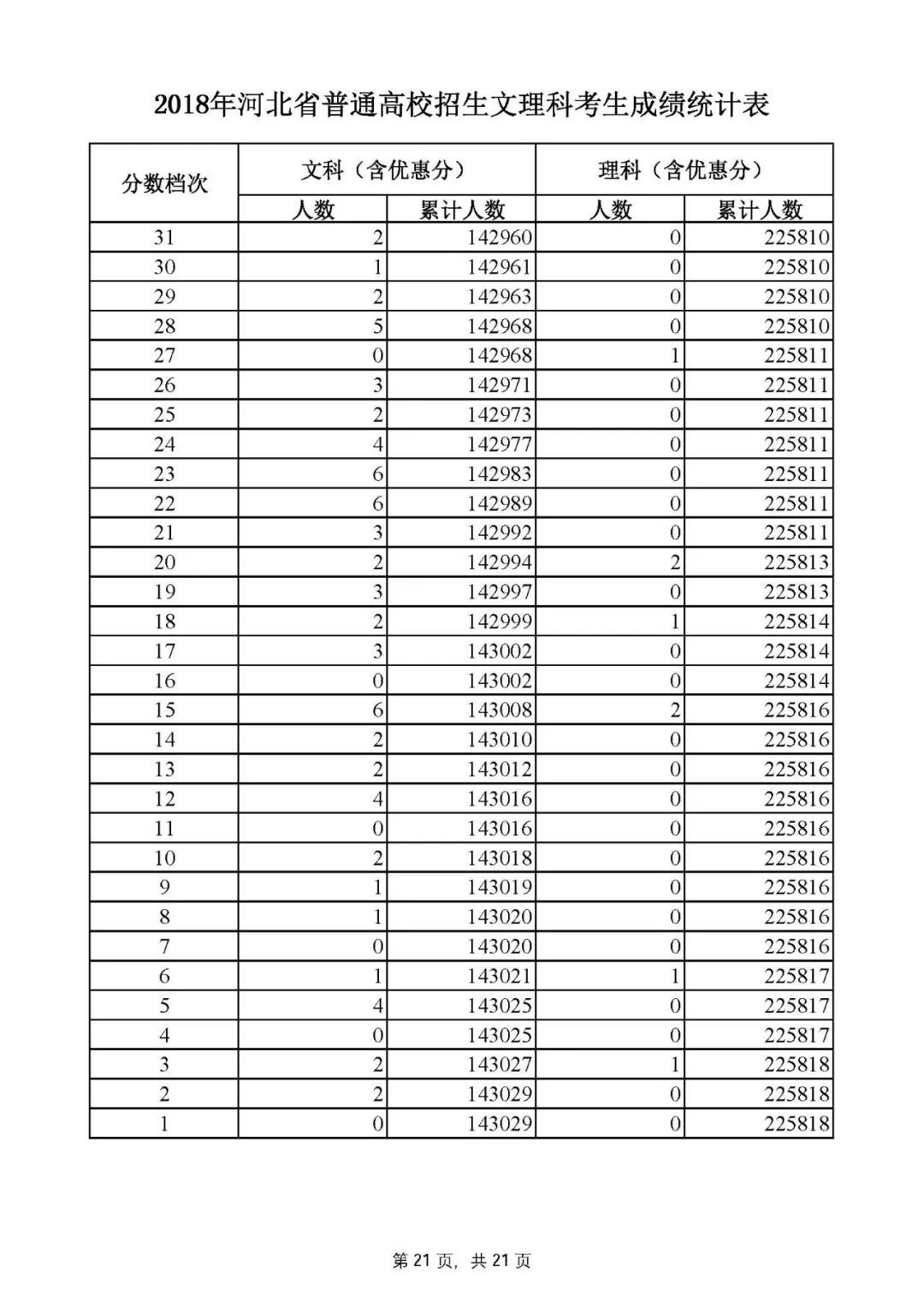
2018年河北省普通高校招生
文理科一分一档统计表
(点击看大图)





















(更多详细统计请查看省教育考试院网站)
点击“阅读原文”,进入“河北省教育考试院官网(www.hebeea.edu.cn)”查询↓↓↓
来源/河北省教育考试院网站
编辑/李薇

相关标签:
-
- 旅行青蛙怎样才会出门旅行?旅行青蛙不出门解决方法
-
2025-12-08 07:32:35
-
- 家用KTV需要哪些设备?
-
2025-12-08 07:30:21
-
- 古风头像丨仙气飘飘的甜美女头
-
2025-12-08 07:28:06
-
- 鼻咽癌长什么样?以医生的视角,用一张图像带大家看看鼻咽...
-
2025-12-08 07:25:52
-
- 路透社爆料:波兰逮捕乌克兰妇女在黑市器官交易56个肾脏
-
2025-12-08 07:23:38
-
- 哈尔滨2023中考重点高中、民办高中、普通高中录取分数线汇总!
-
2025-12-08 07:21:24
-
- 国外女子用孩子当做武器?
-
2025-12-08 07:19:09
-
- 许豪恩微博曝个人资料! 许豪恩结婚啦!
-
2025-12-08 07:16:55
-
- 聆听大欢新歌《秋容》非常扎心好听 花的泪读懂秋的情 藏在心中
-
2025-12-08 07:14:41
-
- 寒潮抵达!今冬首个棉裤预警地图发布 全国27个省区市需棉裤护体
-
2025-12-08 07:12:27
-
- 商家网售光荣之家牌匾90元包邮 自称仿真度高 不犯法
-
2025-12-08 02:22:39
-
- 晚清罕见老照片:患了巨人症的男子身躯庞大,身高堪比现代姚明
-
2025-12-08 02:20:25
-
- 揭秘鹿晗商业版图,鹿晗关联12家企业
-
2025-12-08 02:18:11
-
- 槽渔滩风景名胜区总体规划(2021-2035年)
-
2025-12-08 02:15:57
-
- 本田全新四缸CBR500R跑车曝光
-
2025-12-08 02:13:43
-
- 范冰冰美图分享
-
2025-12-08 02:11:28
-
- 不看不知道!吴亦凡代言品牌个个都是高端上档次啊
-
2025-12-08 02:09:14
-
- 249亿像素上海外滩图走红 由2000多张照片拼接成 有失真场景
-
2025-12-08 02:07:00
-
- 每日一星——魏伽妮
-
2025-12-08 02:04:46
-
- 纯爷们!中国旅行团在俄遭抢劫,他俩打跑劫匪抢回财物!
-
2025-12-08 02:02:31



公吨和吨有分别吗?公吨和吨一样吗?
陈金凌(陈金凌以前的相片)
蔡少芬和张晋差几岁(蔡少芬张晋差多少岁)
农民补交45000元每月能领多少钱?以四个地区为例
张彬彬女友(张彬彬女友标准)
一五一十打一生肖(一五一十打一生肖最佳答案)
张少华为什么打断新凤霞的腿(张少华为何带人打新凤霞)
惨绝人寰!古代惩罚女子出轨的五大酷刑
青岛海参品牌(青岛海参品牌十大排名榜)
五代同堂是什么生肖(五代同堂指一生肖)