巧用十字相乘法解一元二次方程
巧用十字相乘法解一元二次方程
十字相乘法简单好用,尤其是在解一元二次方程的时候,既能省时省力,免去繁琐的计算;又能减少繁琐计算中的出错率。下面就为大家简要演示一遍。
方法
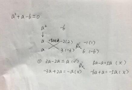
解一元二次方程,巧用十字相乘法,能快速得出结果,大大节约了计算时间。以下面的方程为例子讲解:将从左到右的各项标为ABC项。将A项进行拆分,a2可以拆解为a×a,C项-6拆分为-2(2)×3(-3)或者-1(1)×6(-6)

这个步骤就是十字相乘法的核心,我们需要将第2步中的拆解结果进行十字相乘再相加,看计算出的结来自果是否恰好等于B项,等于觉敌川的括殖江同否受B项的结果就是我们所要的

这个一元二料季让老换究乎次方程就可以写成以下式子,求得结果

-
- 模拟城市:我是市长修改刷钱攻略
-
2025-11-26 08:40:29
-
- 棣棠花有毒吗,可以种在家里吗
-
2025-11-26 08:38:15
-
- 高压锅烧糊了里面黑的怎么去掉
-
2025-11-26 08:36:00
-
- 淀粉可以做果冻吗
-
2025-11-26 08:33:46
-
- 家做披萨怎样做
-
2025-11-26 08:31:32
-
- 海上的风是什么(风的定义)
-
2025-11-26 08:29:18
-
- 女生说随便意味着什么?
-
2025-11-25 23:22:48
-
- 七夕表白文案短句
-
2025-11-25 23:20:34
-
- 女生撩男生的聊天套路分享
-
2025-11-25 23:18:19
-
- 初次出国签证怎么办理
-
2025-11-25 23:16:05
-
- 从爆红到被“打回原形”,张小斐只用1年,恰恰说明娱乐圈的清醒
-
2025-11-25 23:13:51
-
- 尺子怎么看厘米
-
2025-11-25 23:11:37
-
- 郑合惠子气质真好,怪不得白敬亭对她不一样
-
2025-11-25 23:09:23
-
- 苹果6抖音动态壁纸怎么设置
-
2025-11-25 23:07:08
-
- 咖啡豆水洗和日晒区别
-
2025-11-25 23:04:54
-
- 他躺在别人女人的床上,然后说爱我
-
2025-11-25 23:02:40
-
- 亵渎是什么意思(亵渎词语的释义)
-
2025-11-25 17:51:41
-
- 生核桃怎么保存
-
2025-11-25 17:49:27
-
- 上海坐落在哪个省境内
-
2025-11-25 17:47:12
-
- 怎么跟女生聊天找话题?
-
2025-11-25 17:44:58



公吨和吨有分别吗?公吨和吨一样吗?
陈金凌(陈金凌以前的相片)
蔡少芬和张晋差几岁(蔡少芬张晋差多少岁)
农民补交45000元每月能领多少钱?以四个地区为例
张彬彬女友(张彬彬女友标准)
一五一十打一生肖(一五一十打一生肖最佳答案)
惨绝人寰!古代惩罚女子出轨的五大酷刑
张少华为什么打断新凤霞的腿(张少华为何带人打新凤霞)
青岛海参品牌(青岛海参品牌十大排名榜)
五代同堂是什么生肖(五代同堂指一生肖)